Purpose of Gearbox

The main purpose of the Gearbox is to change the traction force, speed and driving directions. When engine rotation frequency falls down, the crankshaft rotation moment rises to maximum parameters and then fall down again. So it needs to have increase rotation moment from engine on the bad roads or for climbing a hill, so car is using gearbox for it. Gearbox provides a selection of gears for different driving conditions. It serves for this purpose; also, it has rear gear to move back. Gearbox provides disconnection engine from transmission. Also let`s know gearbox construction.
Step gearbox consist of teethes wheels that engagements between other in different variants. These are forming several gears with different gear ratios. There are four-gears gearboxes or five-gears gearboxes.
Than more gears, the car better adopts to different roads conditions. Gearbox should to be run quiet with minimal wearing. In order to match the requirements, it uses gear wheels with slanting teeth.
There are manual and automatic gearboxes, these gearboxes construction we will study.
Gearbox construction scheme
Usual gearbox has three shafts: primary shaft (A), links through clutch to the crankshaft; driven shaft (B), links through propeller shaft and so other mechanisms to the drive wheels; and intermediate shaft (C).

A – drive shaft (primary); B – driven shaft; C – Intermediate shaft; D — reverse gear axis; (1-8) gear wheels.
The drive gear 1 has done with drive shaft as a whole. It connects to the driven gear wheel 8, which connects to the intermediate shaft rigidly. When clutch is on, the drive and driven shafts are rotating. There are gear wheels 2 and 3 are mount on the driven shaft, and gear wheels 7, 6, 4 rigidly connect to the intermediate shaft like gear 8.
The ratio of the number teeth of driven gear to the number teeth of the drive wheel, the inverse to the ratio of their rotation frequency is the gear ratio. For example, you can derive the formula for finding the gear ratio of a pair of gears:
Gear ratio = teeth in driven gear/teeth in driver gear;

How does gearbox works?
When does any gear wheel of driven shaft connects with one of the gear wheels of intermediate shaft the rotation moment from engine transmits to drive wheels through drive, intermediate, driven shafts and propeller shaft. In order to the second gear turn on the gear wheel 3 moves forward for connecting to gear wheel 6 of intermediate shaft. Common gear ratio of the first gear is

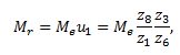
where Z3 and Z6 are counts of teeth to gear wheels 3 and 6. When the first gear turns on the rotation moment Mr on the driven shaft of gearbox increases more than engine rotation moment Me in U1.

also it has maximal magnitude, because gear wheel 6 is minimal of the intermediate gear wheels, and gear wheel 3 is maximal gear wheels driven shaft.